知识读本丨各类希腊值介绍
2024-08-28 13:21

希腊值是用来度量期权的特定风险的指标,可以评估期权价格对各种市场因素的敏感性。我们以看涨香草期权为例,对下述希腊值进行介绍。

一阶希腊值:

Delta、Theta、Vega、Rho

二阶希腊值:

Gamma、Vanna、Charm、Veta

三阶希腊值:

Speed、Color、Zomma

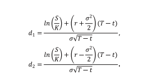
后文推导过程中的公式中N是标准正态分布累计分布函数,C是看涨香草期权价格,P是看跌香草期权价格,d1(期权对股价的敏感程度)及d2(期权最后被执行的可能性)计算方式分别如下:

【免责声明】本文信息仅用于投资者教育之目的,不构成对投资者的任何投资建议,投资者不应当以该等信息取代其独立判断或仅根据该等信息作出决策。本文信息力求准确可靠,但对这些信息的准确性或完整性不作保证,亦不对因使用该等信息而引发或可能引发的损失承担任何责任。

特别声明:本文系网络转载,如有侵权请联系删除,版权归原作者所有